fits文件的头文件提取到excel
1 | import matplotlib.pyplot as pl |
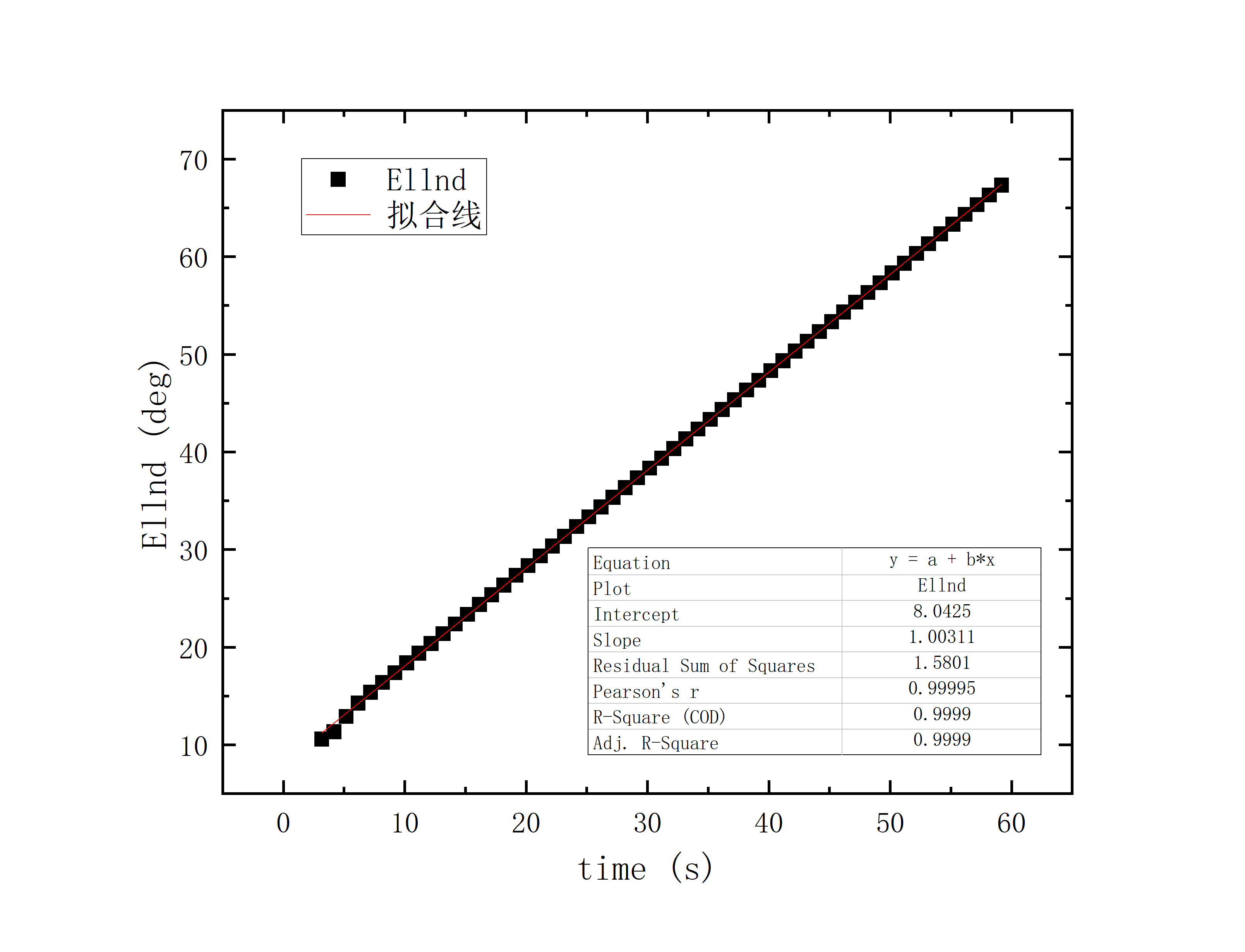
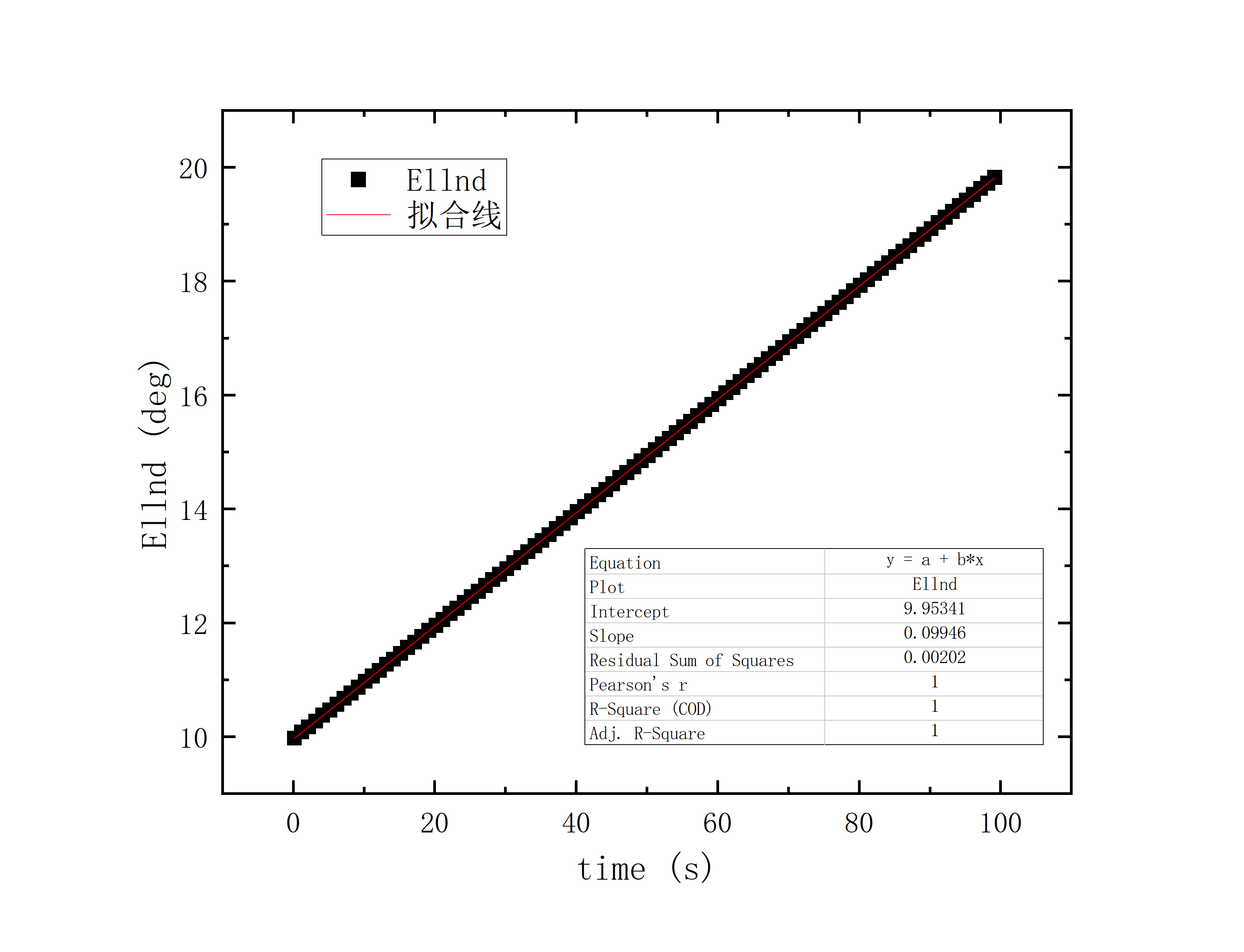
文件提取到excel后使用originlab软件进行画图和拟合操作,画出时间和方位/俯仰的平面图,后进行拟合。图例中给出拟合参数,对方位/俯仰做差与邻近时间做差进行相除,给出加速度图例图中使用Acc(acceleration)。其中要说明time(时间)是简化儒略日的数值给小数点前的取零,因为简化儒略日也是线性的对作图并不影响,所以没有进行转化。
基本统计概念
在展示数据之前提供的拟合参数做简略的解释:
残差(residual)
残差在数理统计中是指实际观察值与估计值(拟合值)之间的差。“残差”蕴含了有关模型基本假设的重要信息。如果回归模型正确的话, 我们可以将残差看作误差的观测值。
总离差平方和/总平方和(Total Sum of Squares,TSS)

回归平方和/解释平方和 或者下文中的SSreg(Explained Sum of Squars,ESS)

其中需要解释TSS=RSS+ESS,图中的sst、sse、ssr就是TSS、ESS、RSS。

拟合图片中给出的参数解释
- 残差平方和(Residual sum of squares,RSS)
为了明确变量和随机误差各自产生的效应是多少,统计学上把数据点与它在回归线(拟合线)上的位置差异称为残差,把每个残差平方后加起来称为残差平方和,表示了随机误差的效应。一组数据的残差平方和越小,其拟合度越好!

皮尔森相关系数(Pearson’s R)
皮尔森相关系数可以衡量配对数据之间的线性关系。Pearson’s R的极限值在-1和1之间。在线性回归钟,Pearson’s R的正值表明变量x和变量之间存在线性正相关,而Pearson’s R的负值表示变量x和变量之间存在线性负相关。0则表示数据之间没有线性相关关系。而且,该值越接近-1或者1,线性相关关系越强。R-Square(Coefficient of determination,COD)
也叫Coefficient of determination,是一种用于量化线性回归的统计量度。它是拟合的回归线所解释的响应量变化的百分比,例如R-Square表明该模型解释了响应变量中大约超过89%的变化。因此,R-Square始终在0到1之间。如果R平方为0,则表明拟合线不能解释响应数据均值附近的变化。如果R平方为1,则表示拟合线解释了响应数据均值附近的所有变化。通常,R-Square越大,拟合线越适合您的数据。再结合下面的公式可以看出,当使用良好拟合模型时,R-Square应在0 到1之间变化。接近1的值表示该拟合为良好的模型。

- Adj.R-Square
在R-Square已经讲到:R-Square可以用于量化模型对数据的拟合程度,当添加新的预测变量时,R-Square将始终增加。一个具有更多预测变量的模型具有更好的拟合度是一个误解。 Adj.R-Square 是对R-Square的一个修改版本,已针对拟合中的预测变量数进行调整。因此,它可以用于与具有不同数量预测变量的拟合线进行比较。如果预测变量大于1,则Adj.R-Square 始终小于R-Square。再结合下面的公式可以看出,当使用良好拟合模型时,Adj.R-Square应在0 到1之间变化。接近1的值表示该拟合为良好的模型。

2020_07_19_04_32_34



2020_07_19_04_45_12



2020_07_19_04_51_08



2020_07_19_05_02_52



2020_07_19_05_17_28



2020_07_19_05_35_17



2020_07_19_05_37_05



2020_07_19_05_38_08



2020_07_19_05_39_38



2020_07_19_05_41_38



2020_07_19_05_58_38



2020_07_19_06_27_56



2020_07_19_06_29_34



2020_07_19_06_32_09



2020_07_19_06_34_09



2020_07_19_06_51_09



总结
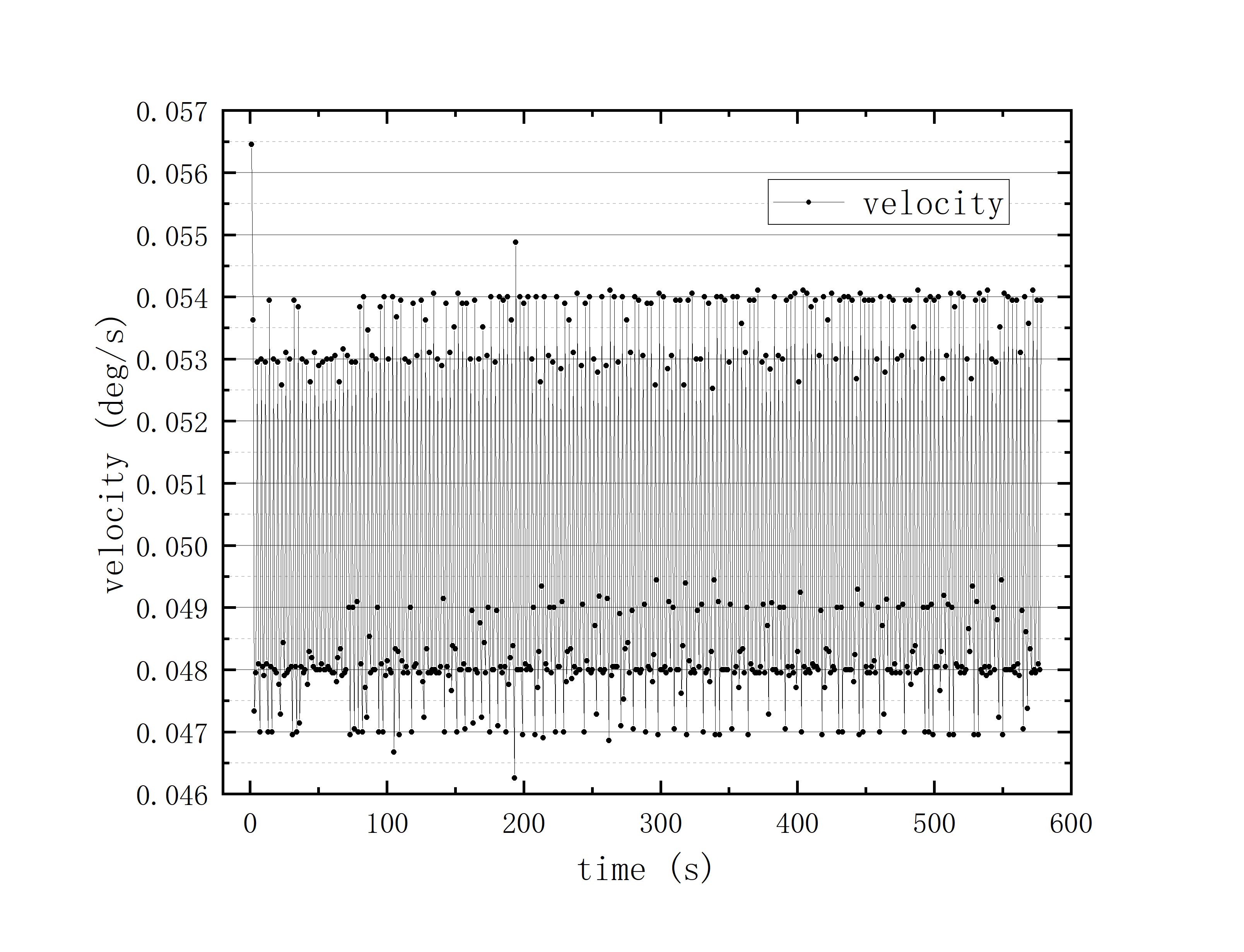
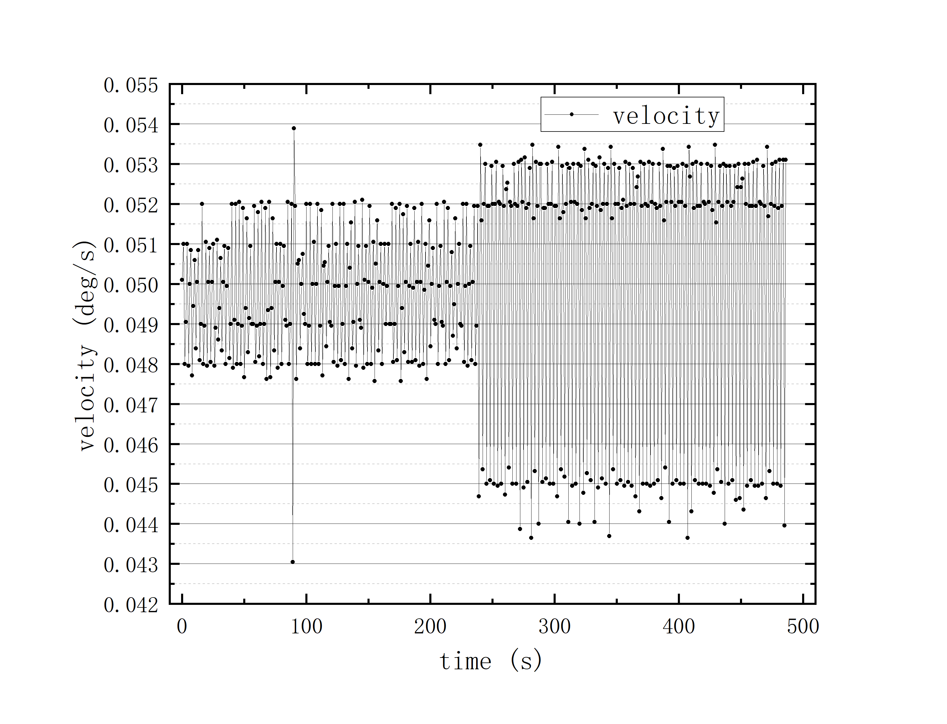
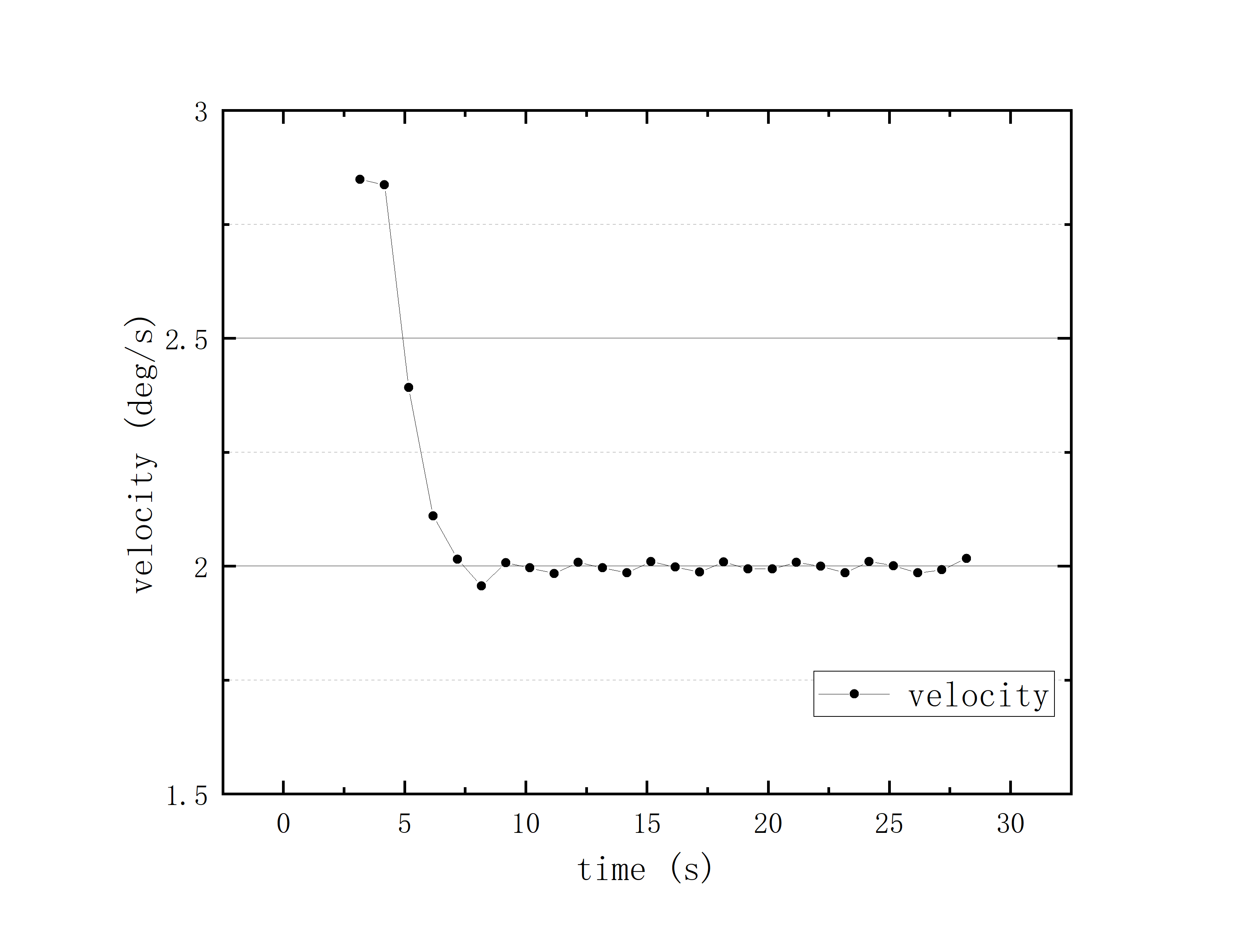
可以看到几乎所有的拟合参数都显示一个非常好的线性的拟合,且速度的波动都集中在非常小的范围内。除了在天线启动、停止时造成的速度变化较大(例如:2020_07_19_05_37_05、2020_07_19_05_38_08),和数据点较少时看上去的“速度波动”(例如:2020_07_19_05_35_17)外,多数速度波动都在较小的范围内波动。